• Предмет: Алгебра
  • Автор: vidchernigiv
  • Вопрос задан 3 года назад

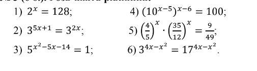
РОЗв'яжіть рівняння,решите уравнение на фото

Приложения:

Ответы

Ответ дал: ninjazhanibek
1

Щоб розв'язати показни рівняння треба зрівняти основи, почну з простишего

1)=128

2ˣ=2⁷  ⇒ х=7

2)3⁵ˣ⁺¹=3²ˣ

5х+1=2х

5х-2х=-1

3х=-1 ⇒ х=-1/3

3)5ˣ²-⁵ˣ-¹⁴=1

5ˣ²-⁵ˣ-¹⁴=5⁰

х²-5х-14=0

D=b²-4ac=(-5)²-4×1×(-14)=81  

x=(-b±√D)/2a=(5±√81)/2=7 i -2

4)(10ˣ⁻⁵)ˣ⁻⁶=100

10⁽ˣ⁻⁵⁾⁽ˣ-⁶)=10²

(x-5)(x-6)=2

x²-5x-6x+30=2x²-11x+28=0

D=b²-4ac=11²-4×1×28=9

x=(-b±√D)/2a=(11±√9)/2=7 i 4

5)

(\frac{4}{5} )^x*(\frac{35}{12} )^x=\frac{9}{49} \\\\(\frac{4*35}{5*12} )^x=\frac{9}{49} \\\\(\frac{7}{3} )^x=(\frac{3}{7}) ^2\\\\\\(\frac{7}{3} )^x=(\frac{7}{3}) ^-^2\\\\

х=-2

6)3⁴ˣ⁻ˣ²=17⁴ˣ-ˣ²

Якщо показники рівни а основи різни, показник може бути тількі 0, бо при показнику 0 будь яки основи стануть 1.

4х-х²=0

х(4-х)=0

х=0 і 4

Вас заинтересует