• Предмет: Математика
  • Автор: supranenok2017
  • Вопрос задан 3 года назад

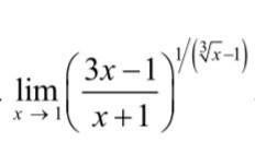
ПОМОГИТЕ ПОЖАЛУЙСТА РЕШИТЬ ​

Приложения:

Ответы

Ответ дал: bavtobus6
0

Ответ:

не знаю

Пошаговое объяснение:

Вас заинтересует