Ответы
Ответ дал:
1
Ответ:
вот это да вроде? просто вы не указали какой именно учебник.
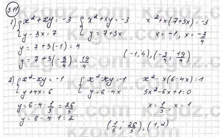
Приложения:

Вас заинтересует
2 года назад
2 года назад
2 года назад
7 лет назад
7 лет назад
9 лет назад
9 лет назад