• Предмет: Физика
  • Автор: slorokgaming
  • Вопрос задан 3 года назад

помогите решить пожалуйста ​

Приложения:

Ответы

Ответ дал: aidanadzafova672
1

Ответ:

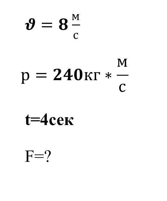
так как не дается что это за движение мы используем формулу Р=Ft

следовательно 240=F×4

F=60


slorokgaming: там нужно написать не только ответ но и записать решение и в конце написать ответ
slorokgaming: так же попрошу обьеснить процесс решения буду очень благодарен
aidanadzafova672: я же написала решение
aidanadzafova672: и формулу
slorokgaming: От души тогда, напишу потом че получил по задачке
aidanadzafova672: хорошо
aidanadzafova672: ))
aidanadzafova672: я буду ждать
Вас заинтересует