• Предмет: Информатика
  • Автор: кариночкаумелая
  • Вопрос задан 10 лет назад

как зашифрованный алфавит?

Ответы

Ответ дал: Identify
0
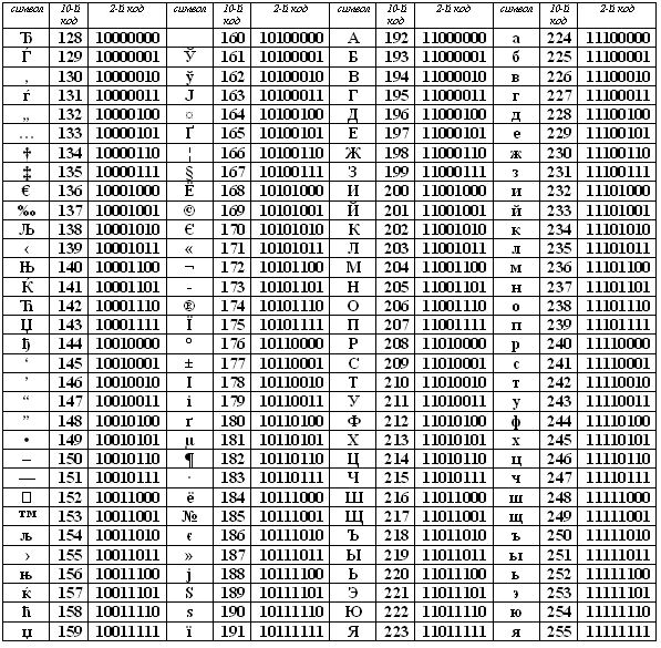
Есть специальная таблица ( кодировочная ). По ней ищешь каждую букву в слове и смотришь соответственный этой буквы кодировку( уже цифрами) переписываешь эти числа( цифры). И так каждую букву
Приложения:
Вас заинтересует