• Предмет: Физика
  • Автор: andrey710968
  • Вопрос задан 3 года назад

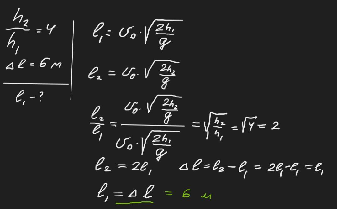
При збільшені висоти кидання тіла в горизонтальному напрямку в 4 рази дальність польоту зросла на 6 м. Початкова швидкість при кидання в обох випадках була однаковою. Визначите початкову дальність польоту?​

Ответы

Ответ дал: zybkov1950
1

Відповідь: 6 м

Пояснення:

Приложения:
Вас заинтересует