• Предмет: Математика
  • Автор: jjjjjjjjjjjjhkkjjhhf
  • Вопрос задан 3 года назад

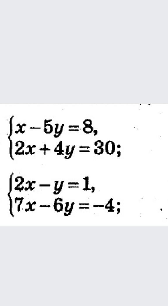
розвяжіть рівння способов додавання ​

Приложения:

Ответы

Ответ дал: manyny06
0

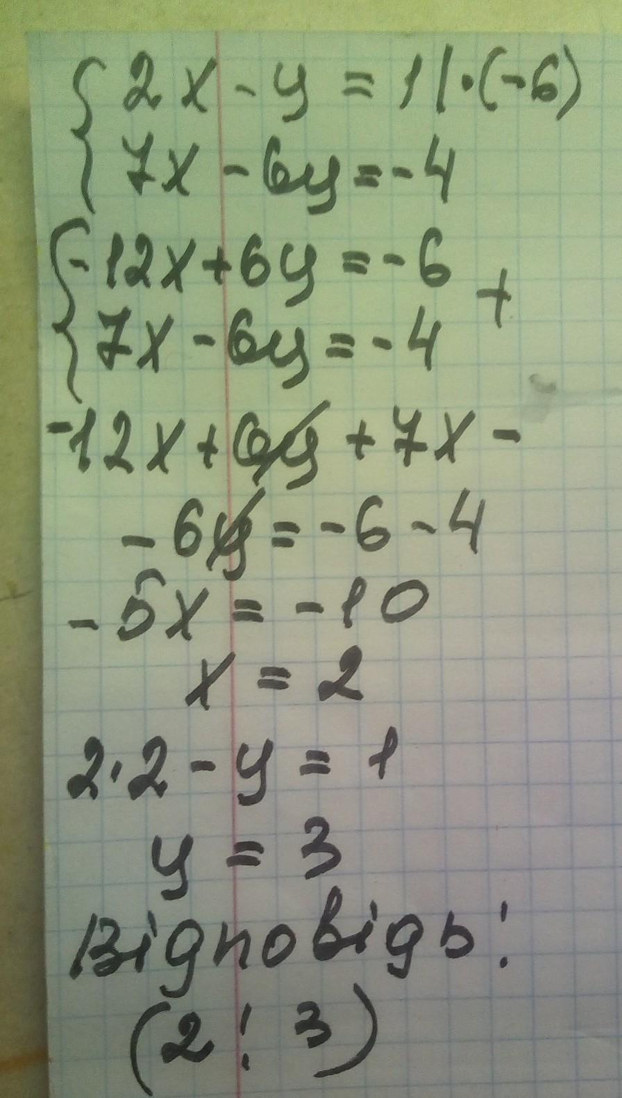
Ответ:

решение смотри на фотографии

Приложения:
Вас заинтересует