• Предмет: Алгебра
  • Автор: ytfirehack
  • Вопрос задан 3 года назад

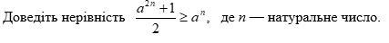
9 Клас. Числові нерівності. Відмічу як найкращу відповідь!

Приложения:

Ответы

Ответ дал: kamilmatematik100504
1

\displaystyle \frac{ a^{2n}  +1}{2}\geqslant a^n ~ \big |\cdot 2 \\\\ a^{2n}  - 2a^n + 1 \geqslant 0 \\\\ (a^n -1)^2 \geqslant 0

Это неравенство интерпретация неравенства Коши :

x ^2+ y^2\geqslant 2xy  \\\\ x^2+y^2 -2 xy  \geqslant 0 \\\\ (x-y)^2 \geqslant 0

Соответственно оно  верное .


ytfirehack: можете сказать пожалуйста где можно рисовать такие уровнения?
Вас заинтересует