Допоможіть швиденько будь ласка!!
Даю 39 балів якщо зараз виконаєте!!
Приложения:

kata85355:
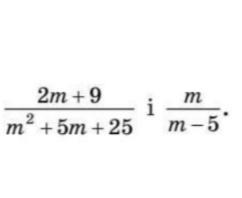
Це потрібно порівняти?
Ответы
Ответ дал:
1
Я зробила так. Якщо нескладно, то познач, як найкраща відповідь
Приложения:

Вас заинтересует
2 года назад
2 года назад
2 года назад
7 лет назад
7 лет назад
9 лет назад