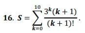
ЗАДАЧА ПАЙТОН: Завдання 1. Розробити блок-схему алгоритму та на його основі
скласти програму для обчислення значення скінченної суми, вказаної за
варіантом. Для обчислення доданків суми використати рекурентну
формулу.
Приложения:
Ответы
Ответ дал:
0
Тут працює звичайний цикл із перевіркою лічильника наприкінці
Приложения:
Ynthex:
а кодом можна? я трохи не догоняю
Вас заинтересует
2 года назад
2 года назад
2 года назад
2 года назад
8 лет назад