Ответы
Ответ дал:
1
Ответ:
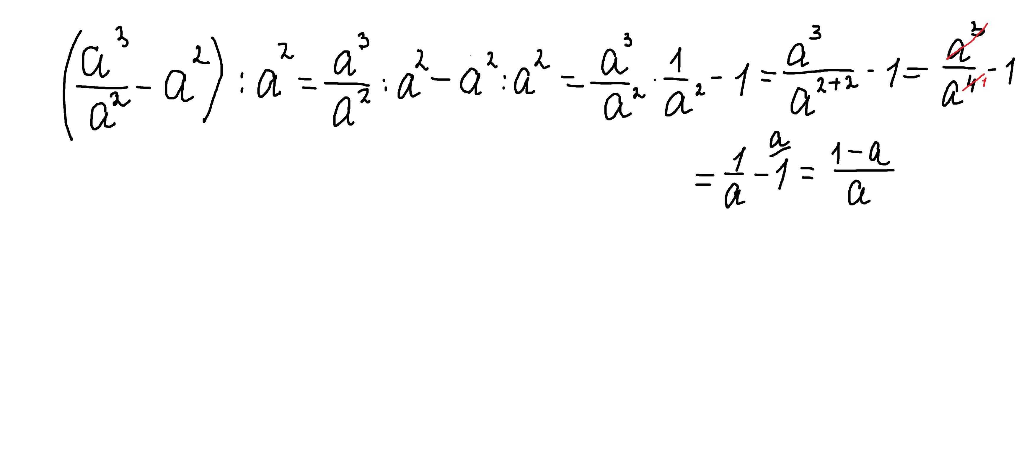
1-а/ а
Объяснение:
Приложения:

Вас заинтересует
2 года назад
2 года назад
7 лет назад
7 лет назад
9 лет назад