Найдите значение выражения, равным значениям 5-2 1,3
( / - дробная черта)
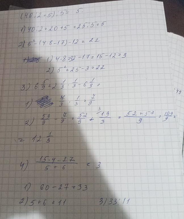
(40:2+5):5
5²-(4*8-17)-12
6 5/9+2 1/3* 1/3- 6 1/3
15*4-27/5+6
Приложения:

Ответы
Ответ дал:
0
Пошаговое объяснение:
вот......легкотняяя.....
Приложения:

crapiva250:
да не я знаю что легко. Я уже сделал просто сначала не вдуплял там где написано "Равные значениям" ну как это сделать
Вас заинтересует
2 года назад
2 года назад
2 года назад
7 лет назад
7 лет назад
9 лет назад
9 лет назад