• Предмет: Алгебра
  • Автор: lxstxr
  • Вопрос задан 3 года назад

СРОЧНО!
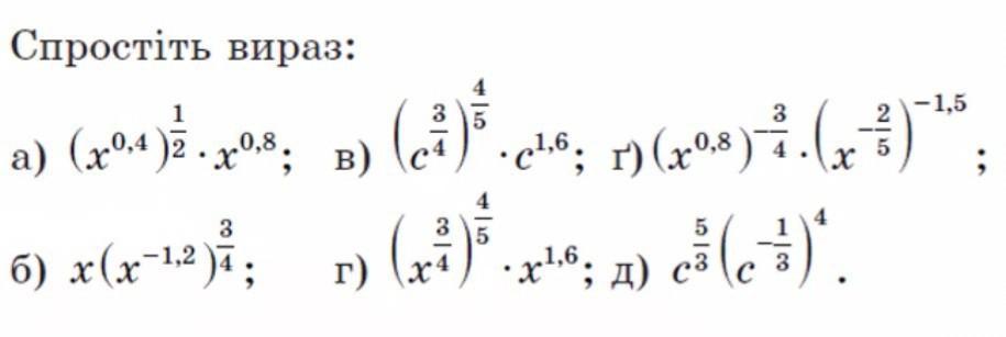
спростіть вираз

Приложения:

Ответы

Ответ дал: NNNLLL54
2

Ответ:

Применяем свойства степеней:

\bf (a^{n})^{k}=a^{n\cdot k}\ \ ,\ \ \ a^{n}\cdot a^{k}=a^{n+k}

(x^{0,4})^{1/2}\cdot x^{0,8}=x^{0,4\cdot 0,5+0,8}=x^{1}=x\\\\x\, (x^{-1,2})^{3/4}}=x^{1-1,2\cdot 0,75}=x^{0,1}=x^{\frac{1}{10}}=\sqrt[10]{x}\\\\\Big(c^{3/4}\Big)^{4/5}\cdot c^{1,6}=c^{^{3/4\cdot 4/5+1,6}}=c^{0,6+1,6}=c^{2,2}\\\\\Big(x^{3/4}\Big)^{4/5}\cdot x^{1,6}=x^{^{3/4\cdot 4/5+1,6}}=x^{0,6+1,6}=x^{2,2}\\\\(x^{0,8})^{-3/4}\cdot (x^{-2/5})^{-1,5}=x^{-0,6}\cdot x^{0,6}=x^{-0,6+0,6}=x^0=1\\\\c^{5/3}\cdot (c^{-1/3})^4=c^{5/3}\cdot c^{-4/3}=c^{5/3-4/3}=c^{1/3}=\sqrt[3]{c}


1cshrbn91lf3ybbk: Добрый день. Я вас уже просил, но вы не ответили, возможно, не видели сообщение. Помогите, пожалуйста, с заданием. https://znanija.com/task/50188028
Вас заинтересует