• Предмет: Алгебра
  • Автор: lajkkarina93
  • Вопрос задан 3 года назад

даю 20 балів,терміново!!
завдання прикріплено​

Приложения:

Ответы

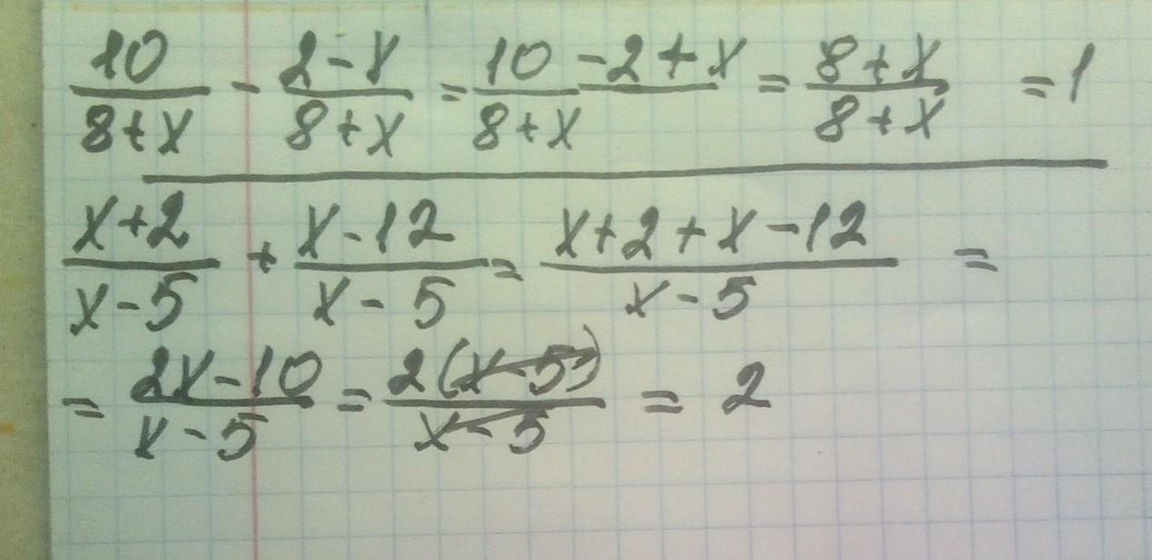
Ответ дал: manyny06
1

Ответ:

решение смотри на фотографии

Приложения:
Вас заинтересует