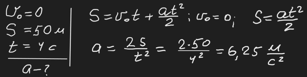
Тіло рухається зі стану спокою. Знайти його прискорення, якщо воно пройшло 50 метрів за 4 секунди
Ответы
Ответ дал:
1
Відповідь: 6.25 м/с²
Пояснення:
Приложения:

Вас заинтересует
2 года назад
2 года назад
2 года назад
2 года назад
7 лет назад