Ответы
Ответ дал:
2
Ответ:
Объяснение:
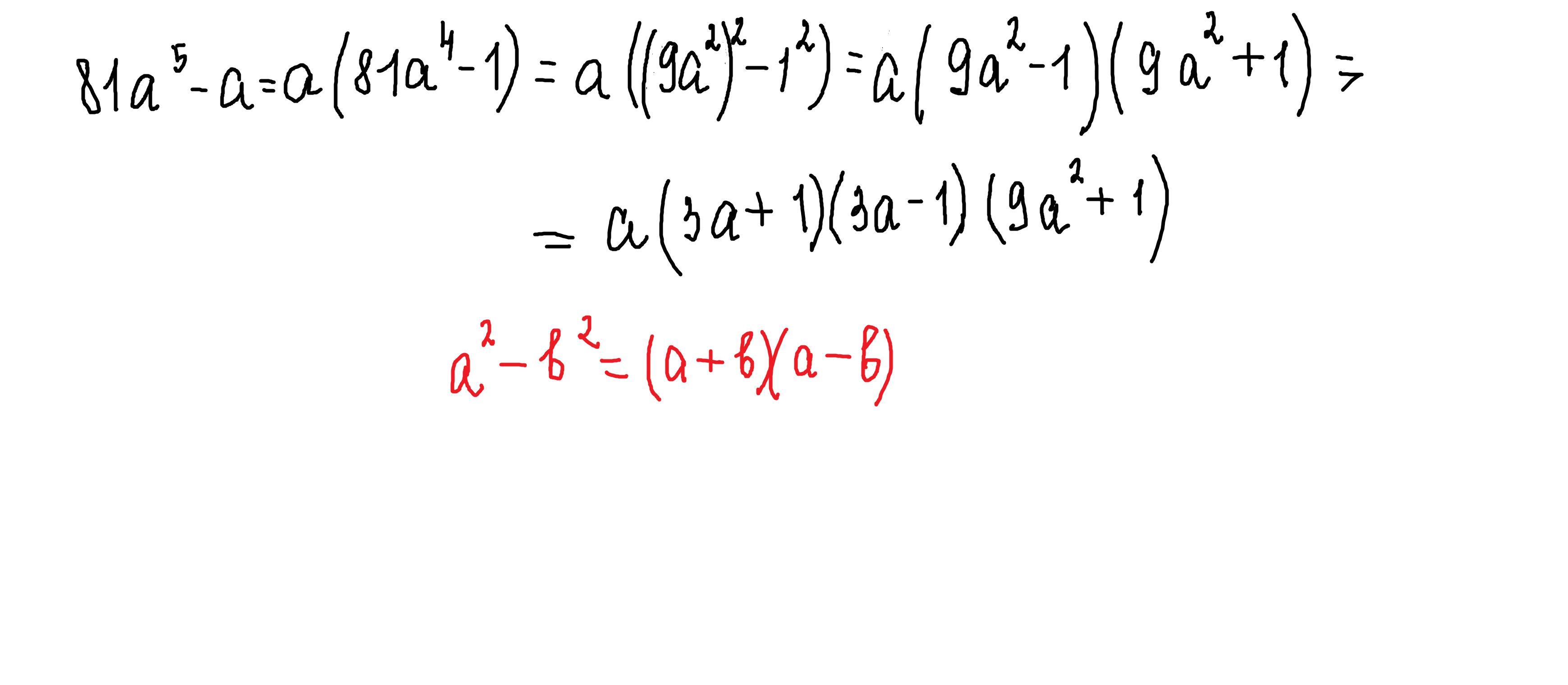
решение внизу
Приложения:

axolotlilove1:
блин я даже горжусь тобой ты удалил мой ответ и решил написать свой ну чееел ты гений
Вас заинтересует
2 года назад
2 года назад
7 лет назад
7 лет назад
9 лет назад