• Предмет: Алгебра
  • Автор: clavaykraini2022
  • Вопрос задан 3 года назад

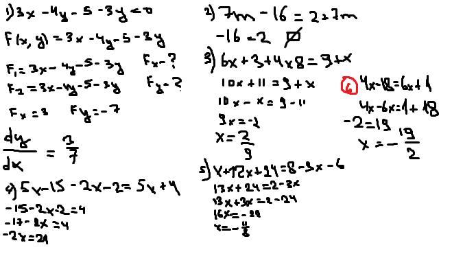
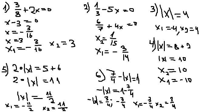
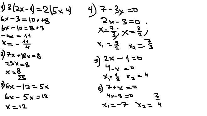
Помогите пожалуйста чем сможете.. даю 40 балов

Приложения:

eduardpicdfhkar: уже 2 фото готово
eduardpicdfhkar: нужно 3?
eduardpicdfhkar: очень много писать
clavaykraini2022: да пожалуйста
clavaykraini2022: спасибоооооооо
clavaykraini2022: слушай поможешь еще с геометрией?

Ответы

Ответ дал: eduardpicdfhkar
1

Ответ:ответ на фото все 3 фото сделал

Объяснение:

Приложения:
Вас заинтересует