• Предмет: Алгебра
  • Автор: zayarinka
  • Вопрос задан 3 года назад

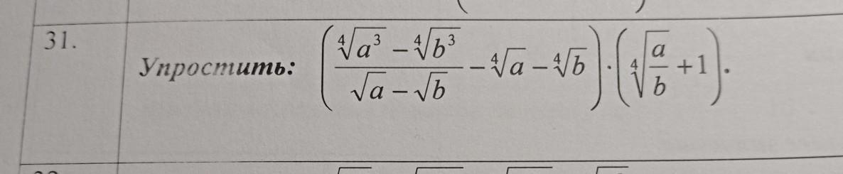
Упростите пример из цт ​

Приложения:

Ответы

Ответ дал: sbneph
0

Объяснение:

ответ в добавленном фото.Если нужно решение поэтапно обратитесь в приложение "Photomath"

Приложения:
Вас заинтересует