ПОЖАЛУЙСТА СРОЧНО ОООООООООООООООЧЕНЬ ДАМ 20 БАЛЛОВ ПОЖАЛУЙСТАААААААААААААААААААААААААААА
Приложения:

Ответы
Ответ дал:
1
Відповідь:
Покрокове пояснення:
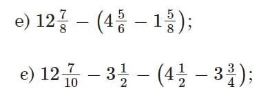
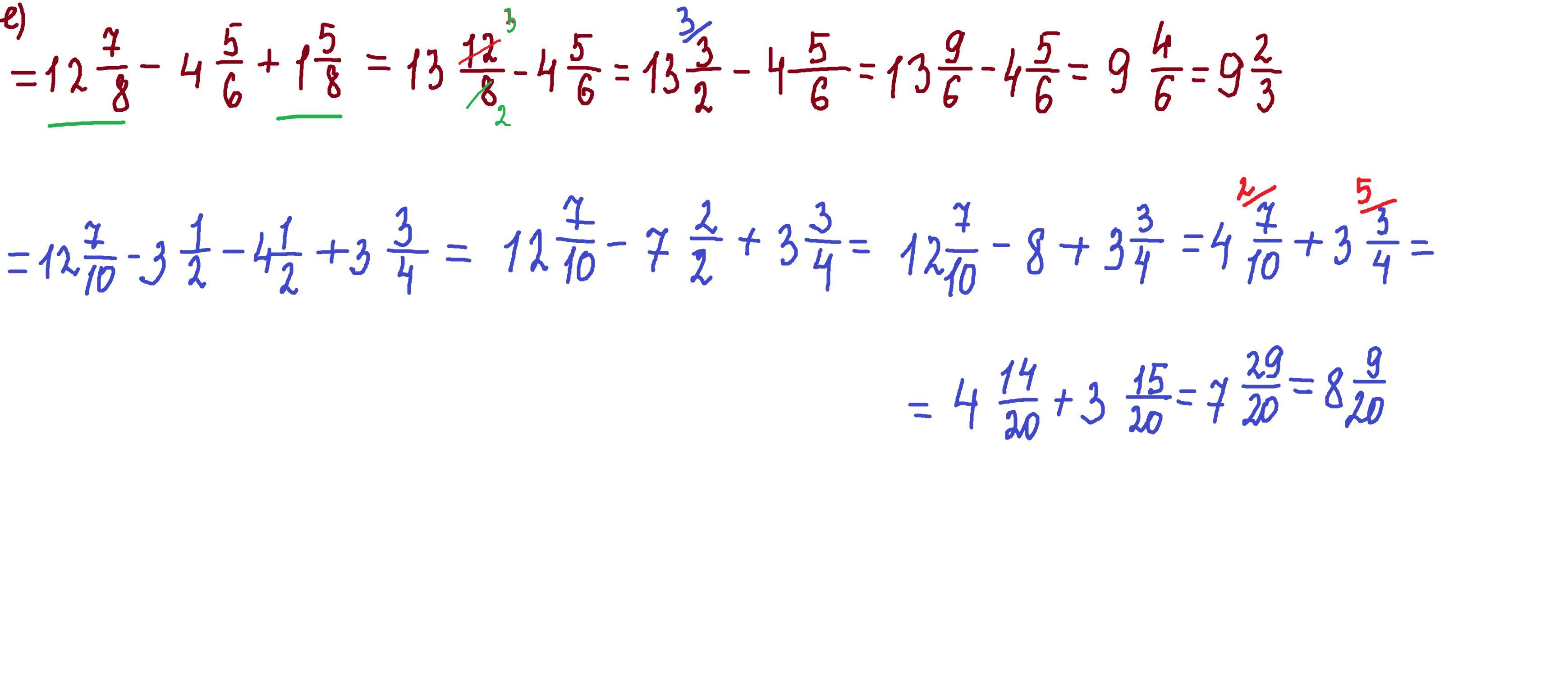
е)
є)
kirashkakulichik:
господи спасибо большое
Ответ дал:
1
Ответ:
Пошаговое объяснение:
решение внизу
если перед скобкой стоит знак минус,то при раскрытии скобок слагаемые ,стоящие в скобках меняют свой знак на противоположный
Приложения:

Вас заинтересует
2 года назад
2 года назад
2 года назад
7 лет назад
7 лет назад
9 лет назад