Ответы
Ответ дал:
1
Ответ:
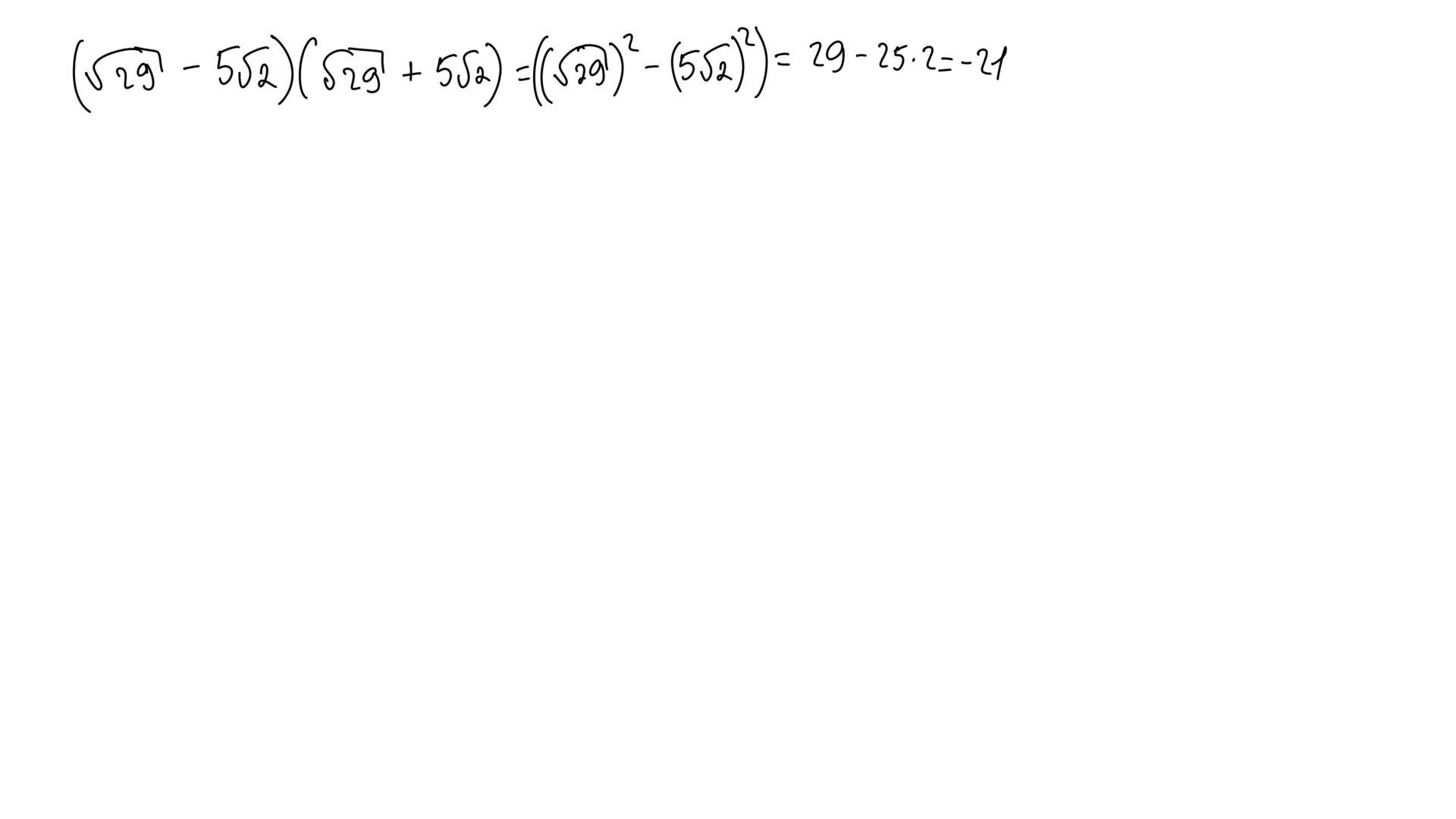
-21
Объяснение: всё на фото. используется формула разности квадратов:
a² - b² = (a-b)(a+b)
Приложения:

Вас заинтересует
2 года назад
2 года назад
2 года назад
2 года назад
7 лет назад
9 лет назад
9 лет назад