• Предмет: Алгебра
  • Автор: polakaunta
  • Вопрос задан 3 года назад

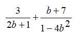
Представте у вигляді дробу

Приложения:

Ответы

Ответ дал: maxim1337654
7

Відповідь: 10-5b / 1-4b^2

Пояснення:


polakaunta: можешь рассписать ?
polakaunta: *расписать
skjvdk836: Пж розпиши
Вас заинтересует