• Предмет: Математика
  • Автор: sitkodima21
  • Вопрос задан 3 года назад

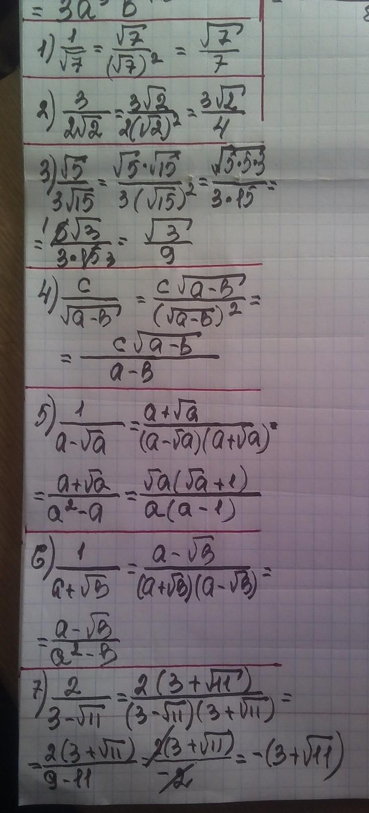
Задание. Избавиться от иррациональности 1) 2) 3) 1 3 2√2 √√5 3/15 C ба-в в знаменателе: 1 5) 6) 7) 8) a √oi 1 √ši a+ 2 3-Л 53 13 +√21​

Приложения:

Ответы

Ответ дал: manyny06
2

Ответ:

решение смотри на фотографии

Приложения:

Аноним: ема расписалэ
Вас заинтересует