• Предмет: Алгебра
  • Автор: dsokorinska
  • Вопрос задан 3 года назад

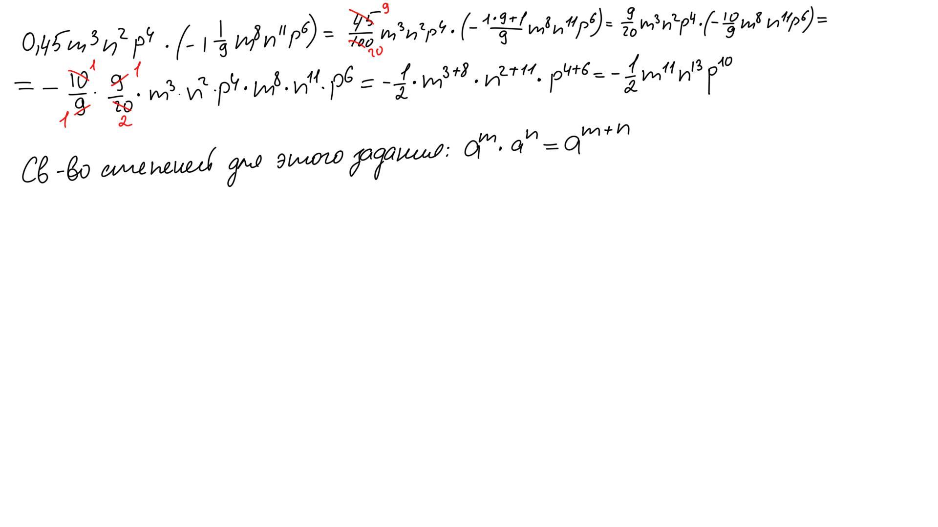
0,45m³n²p⁴× (-1 1/9 m⁸n¹¹p⁶)

Ответы

Ответ дал: arsik32
3

всё на фото............

Приложения:
Вас заинтересует