• Предмет: Геометрия
  • Автор: lailanurai
  • Вопрос задан 10 лет назад

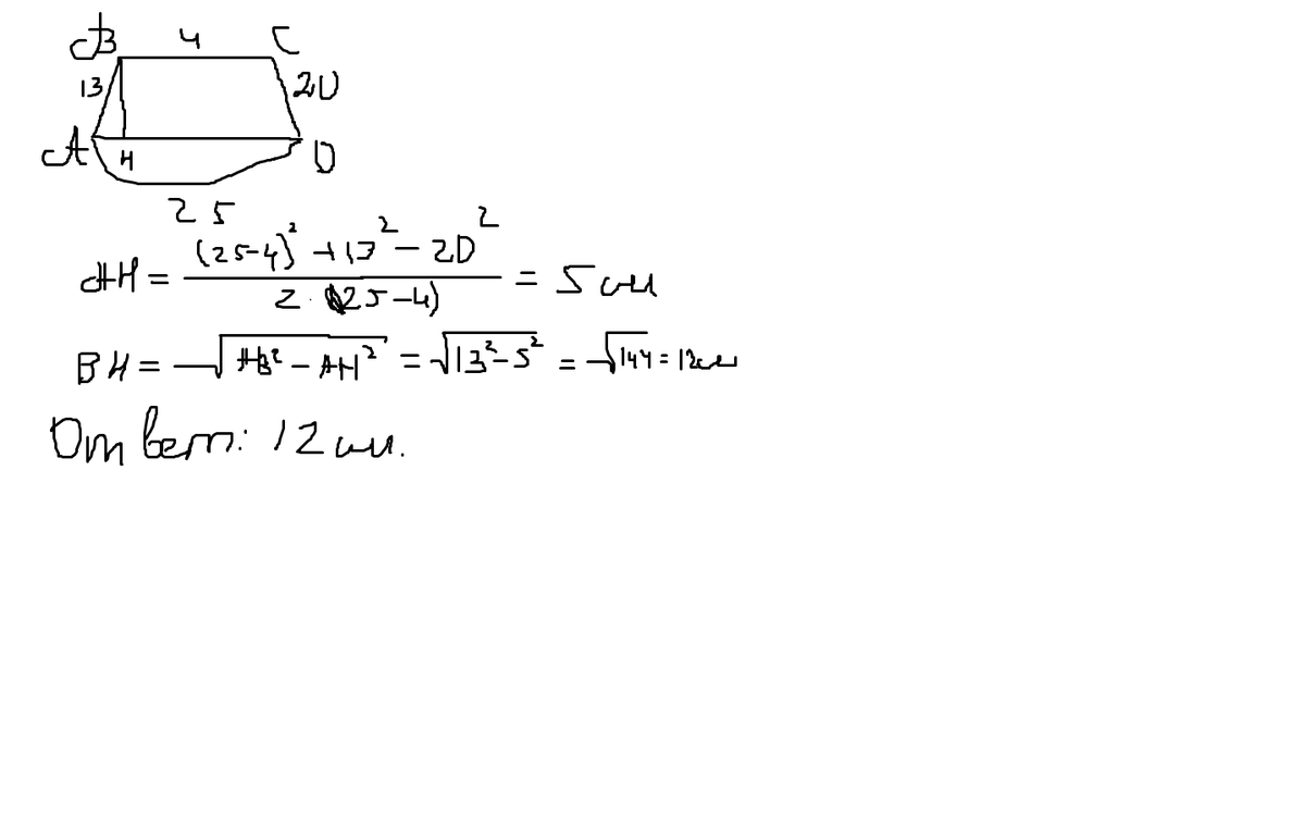
ABCD трпаетция вс=4см  ад=25 см ав=13см сд=20 см вн=высота=?

Ответы

Ответ дал: Аноним
0
Решение во вложениях.............................
Приложения:
Вас заинтересует