Ответы
Ответ дал:
1
Ответ:
вроде бы так, если не так, то извиняюсь..
Приложения:

Ответ дал:
0
Ответ:
х - любое число.
Пошаговое объяснение:
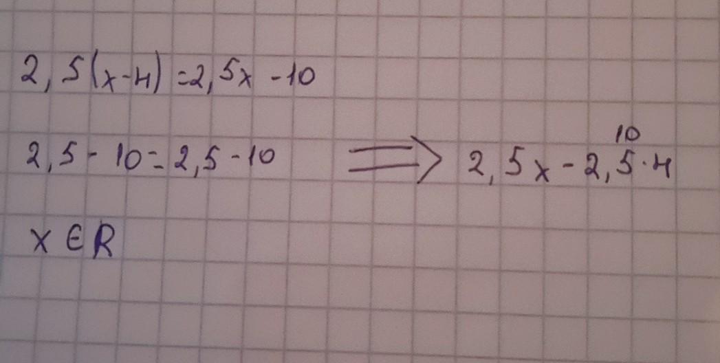
2,5(x−4)=2,5x−10
2,5х-10=2,5х-10
х - любое число.
Вас заинтересует
2 года назад
2 года назад
2 года назад
7 лет назад
7 лет назад
9 лет назад
9 лет назад