• Предмет: Алгебра
  • Автор: Школьницаа
  • Вопрос задан 10 лет назад

срочччноо помогиитеее пожалуйстаа

Приложения:

Ответы

Ответ дал: dtnth
0
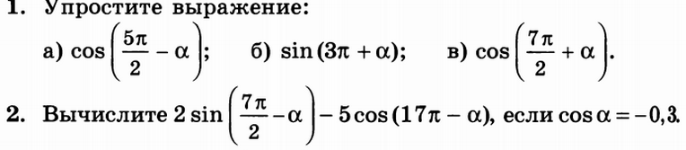
cos (frac{5pi}{2}-a)=cos(2pi+frac{pi}{2}-a)=\\cos(frac{pi}{2}-a)=sin a

sin(3pi+a)=sin(2pi+pi+a)=sin(pi+a)=-sin a

cos(frac{7pi}{2}+a)=cos(4pi-frac{pi}{2}+a)=\\cos(-frac{pi}{2}+a)=cos(frac{pi}{2}-a)=sin a

2sin(frac{7pi}{2}-a)-5cos(17pi-a)=\\2sin(4pi-frac{pi}{2}-a)-5cos(16pi+pi-a)=\\2sin(-frac{pi}{2}-a)-5cos(pi-a)=\\-2sin(frac{pi}{2}+a)-5*(-cos a)=-2cosa+5cos a=3cos a=3*(-0.3)=-0.9
Вас заинтересует