• Предмет: Алгебра
  • Автор: shaparevam0601
  • Вопрос задан 3 года назад

допоможіть будь ласка!!!! ЦЕ СРОЧНО!!!!

Приложения:

Ответы

Ответ дал: karinachervatyuk050
0
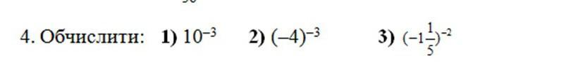
1)10^-3=0,001
2)(-4)^-3= -1/4^3=-1/64
3) (-1 1/5)^-2=(-6/5)^-2=(-5/6)^2=25/36
Вас заинтересует