• Предмет: Алгебра
  • Автор: shamrayvlada08
  • Вопрос задан 3 года назад

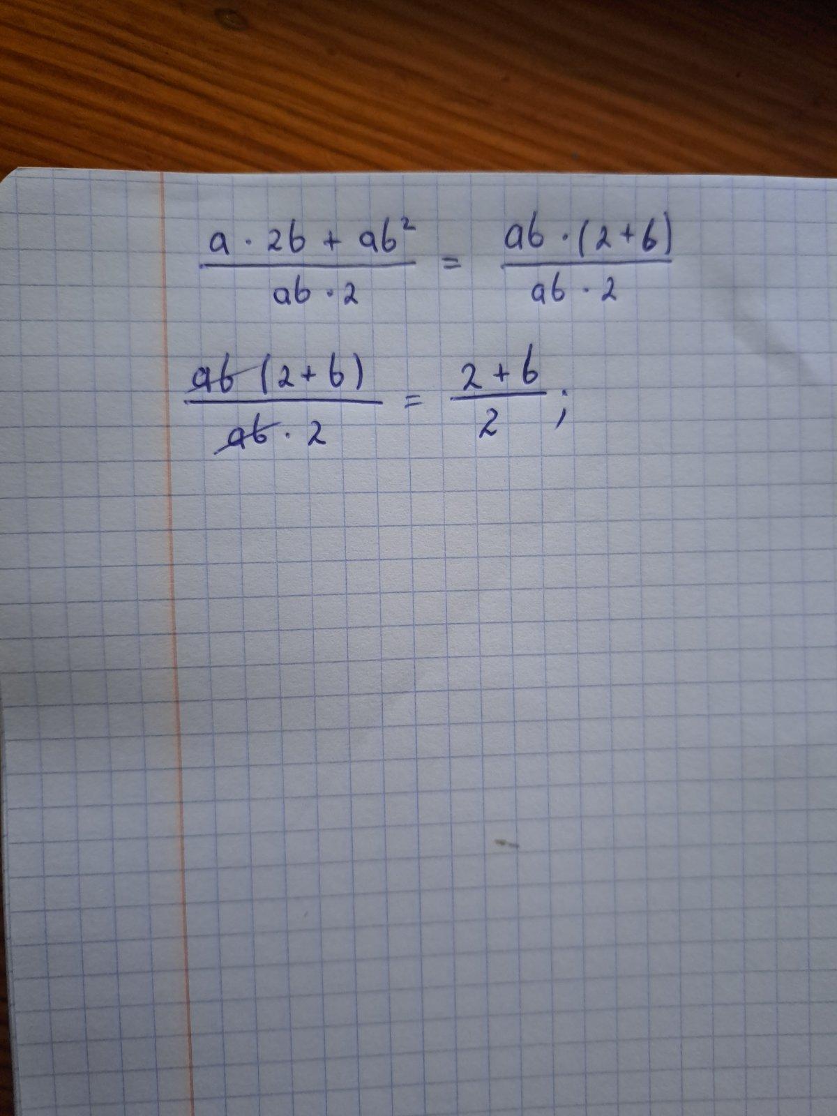
Скоротіть дріб а2b+ab²:(ab2)​

Ответы

Ответ дал: mishka3q
0

Ответ:\frac{2+b}{2}

Объяснение:

Виносимо за дужки множник ab.

Скорочуємо потім на множник ab.

Приложения:
Вас заинтересует