• Предмет: Алгебра
  • Автор: honor8a120620
  • Вопрос задан 3 года назад

ПОМОЖІТЬ ПРОШУ БУДУ ДУЖЕ БЛАГОДАРНА! ❤️
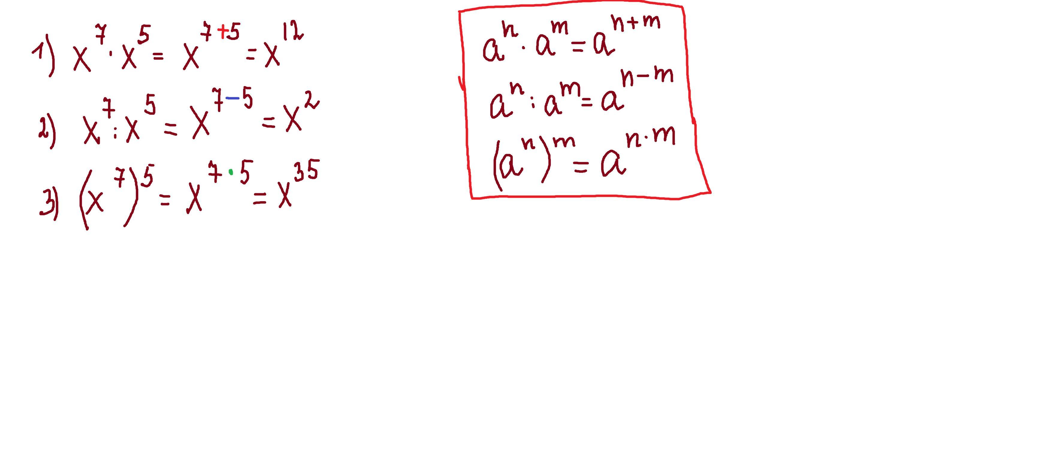
виконайте дії 1) x^7×x^5, 2) x^7:x^5, 3) (x^7)^5,

Ответы

Ответ дал: nailalexey
1

Ответ:

1) x^12; 2) x^2; 3) x^35.

При умножении складываем степени. А при делении отнимаем

Ответ дал: parus77
1

Ответ:

Объяснение:

решения и формулы к ним внизу

Приложения:
Вас заинтересует