Ответы
Ответ дал:
0
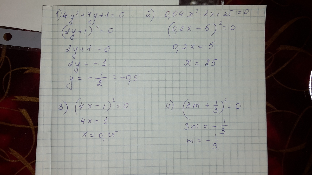
а)4у²+4у+1=0
(2y+1)²=0
y=-1/2
б)0,04х²-2х+25=0
(0.2x-5)²=0
x=25
в)16х²-8х+1=0
(4x-1)²=0
x=1/4
г)9m²+2m+1/9=0
(3m+1/3)²=0
m=-1/9
(2y+1)²=0
y=-1/2
б)0,04х²-2х+25=0
(0.2x-5)²=0
x=25
в)16х²-8х+1=0
(4x-1)²=0
x=1/4
г)9m²+2m+1/9=0
(3m+1/3)²=0
m=-1/9
Ответ дал:
0
спасиоо
Ответ дал:
0
""""""""""""""""""""""""""""
Приложения:

Ответ дал:
0
очень очень спасибо
Вас заинтересует
2 года назад
2 года назад
8 лет назад
8 лет назад
10 лет назад
10 лет назад