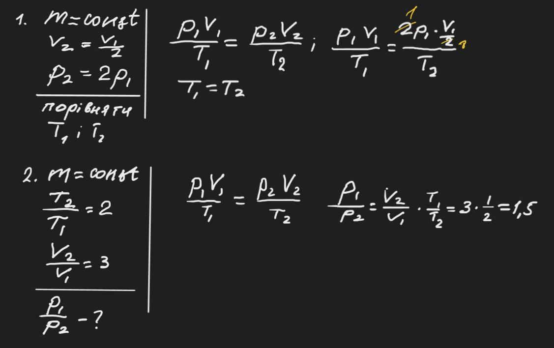
1.об'єм даної маси газу зменшили вдвічі, а тиск газу збільшили вдвічі. як змінилася абсолютна температура?
2.абсолютна температура даної маси газу збільшилася вдвічі, а його об'єм збільшився при цьому в три рази. чи змінився при цьому тиск газу? якщо так, то в скільки разів?
Ответы
Ответ дал:
1
Відповідь: 1. Не змінилася
2. Зменшився у 1,5 рази
Пояснення:
Приложения:

darinayudina8:
велике дякую
Вас заинтересует
2 года назад
2 года назад
2 года назад
7 лет назад
7 лет назад
9 лет назад