• Предмет: Алгебра
  • Автор: aleshakryzanovskiy
  • Вопрос задан 3 года назад

скорее плиз даю 50 балов

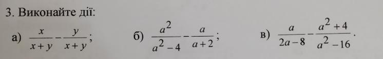
Приложения:

Ответы

Ответ дал: mikitapolacuk3
1

Ответ:

На фото все зроблено правильно

Приложения:
Вас заинтересует