• Предмет: Математика
  • Автор: fgtttttttttttttt
  • Вопрос задан 3 года назад

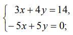
Розв’язати систему рівнянь за допомогою визначників

Приложения:

Ответы

Ответ дал: IUV
1

Ответ:

Пошаговое объяснение:

Δ=3*5-(-5)*4=35
Δх=14*5-0*4=70
Δу=3*0-(-5)*14=70

x=Δх /Δ = 70/35 = 2
у=Δу /Δ = 70/35 = 2

Вас заинтересует