• Предмет: Алгебра
  • Автор: ratnikovavika83
  • Вопрос задан 3 года назад

... Поможіть будь ласка ​

Приложения:

Ответы

Ответ дал: parus77
1

Ответ:

Объяснение:

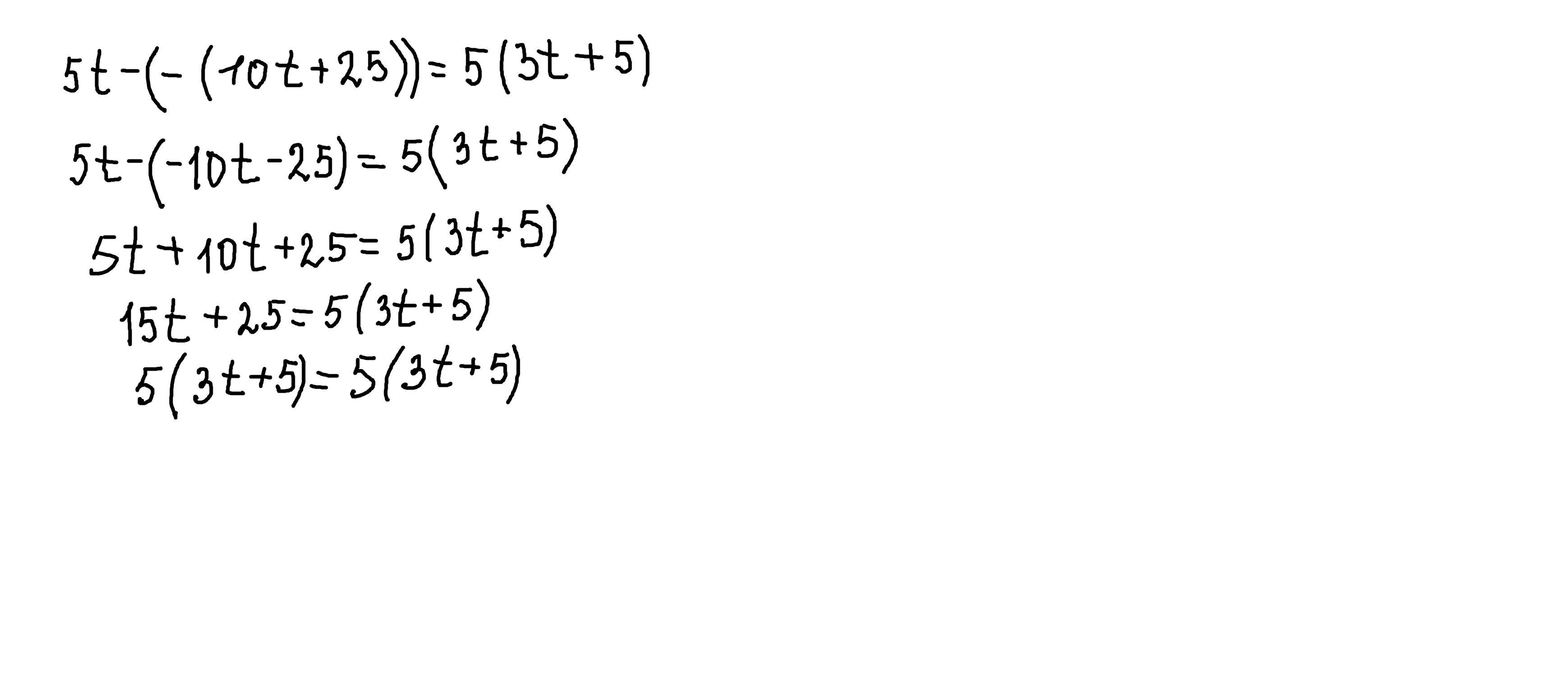
если перед скобкой стоит знак "минус" ,то при раскрытии скобок слагаемые,стоящие в скобках меняют свой знак на противоположный

Приложения:
Вас заинтересует