• Предмет: Алгебра
  • Автор: vp1218120
  • Вопрос задан 3 года назад

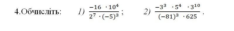
4.Обчисліть: аж срочно даю 70 балов!!!!! отправлять ответнаписаный только с тетрадки!!!!!​

Приложения:

Ответы

Ответ дал: loskol487
0

...................

hdjdhfhf

Приложения:
Вас заинтересует