• Предмет: Алгебра
  • Автор: dkgzkhskgzkgzgzjz
  • Вопрос задан 3 года назад

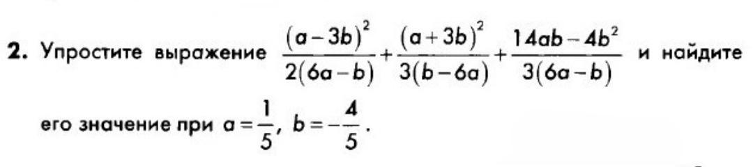
Упростите выражения. Помогите пожалуйста

Приложения:

Ответы

Ответ дал: choriyevadiana
1

это правильный ответ помоему

Приложения:
Вас заинтересует