• Предмет: Математика
  • Автор: eldarmikoj
  • Вопрос задан 3 года назад

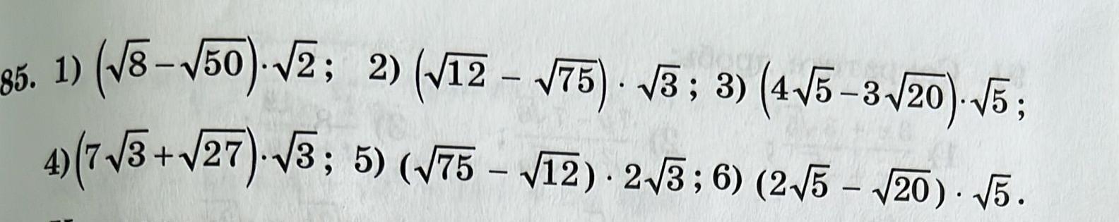
85 (√8-150)/2; 2) (12-175)√3; 3) (475-3-20) 15; 4)(718+(27) 3; 5) (175 - J12) 23; 6) (25 - (20) 15. (√75 - √12) √5. ​

Приложения:

Ответы

Ответ дал: 7BritvA7
1

Ответ:

1) \sqrt{16}  -  \sqrt{100}  =  - 6 \\ 2) \sqrt{36}  -  \sqrt{225}  =  - 9 \\ 3)4 \sqrt{25 }  - 3 \sqrt{100}  = 20 - 30 =  - 10 \\ 4)7 \sqrt{9}   +  \sqrt{81}  = 21  + 9 = 30 \\ 5)2 \sqrt{225}  - 2 \sqrt{36}  = 30 - 12 = 18 \\ 6)2 \sqrt{25}  -  \sqrt{100}  = 10 - 10 = 0

Вас заинтересует