• Предмет: Алгебра
  • Автор: baurzhanomirkhan
  • Вопрос задан 3 года назад


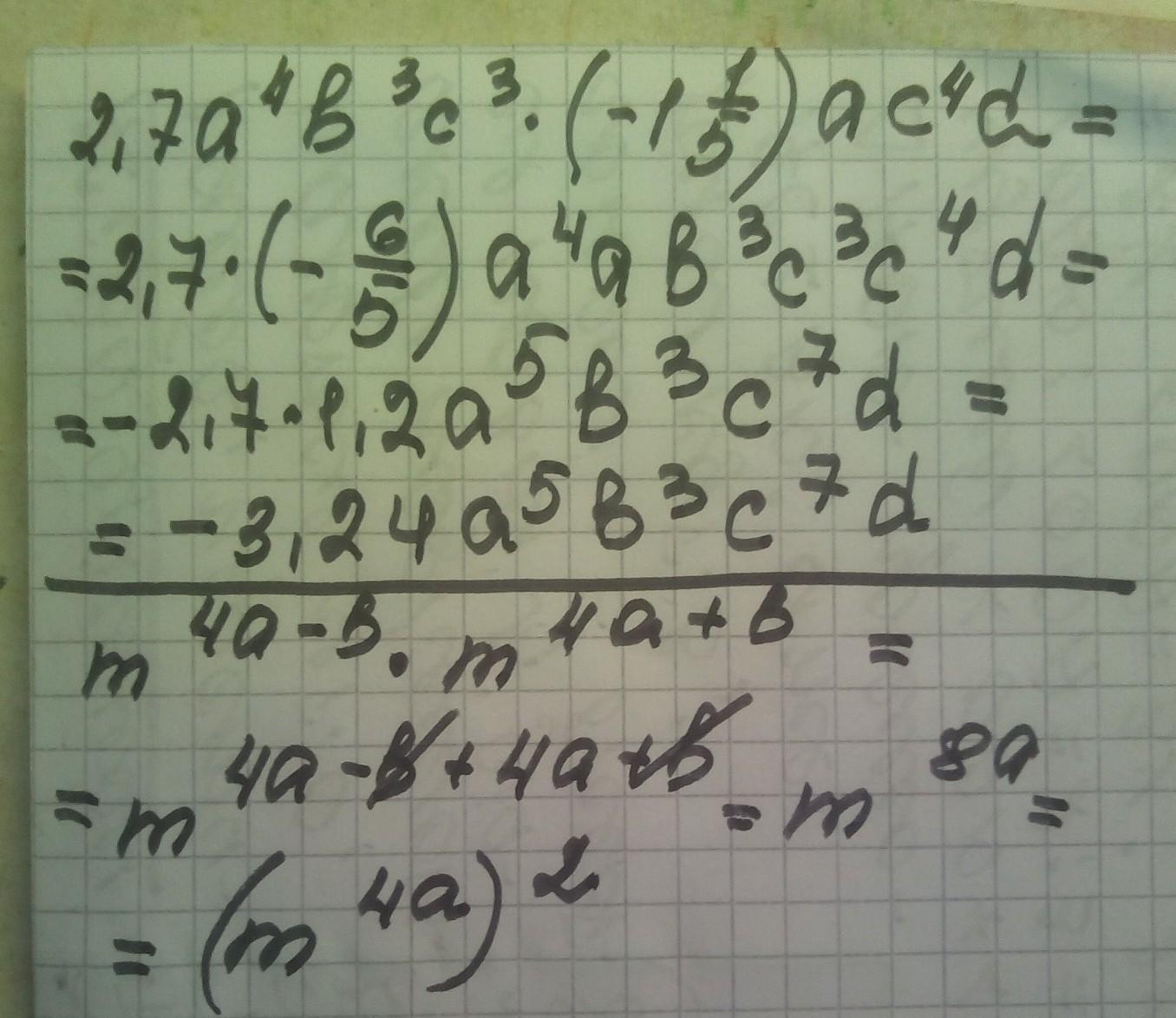
ПОМОГИТЕ! ДАЮ 100 БАЛОВ

Приложения:

Ответы

Ответ дал: manyny06
1

Объяснение:

решение смотри на фотографии

Приложения:
Вас заинтересует