• Предмет: Математика
  • Автор: ewasuhanowa
  • Вопрос задан 3 года назад

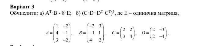
помогите решить задание по математике на тему матрицы

Приложения:

Ответы

Ответ дал: kira1234532
0

а ) 145

б ) 256

с ) 456

д ) 347


ewasuhanowa: а расписать ответ никак не получиться?
kira1234532: не
Вас заинтересует