ПОМОГИТЕ ПОЖАЛУЙСТА СРОЧНО
найдите значение выражения
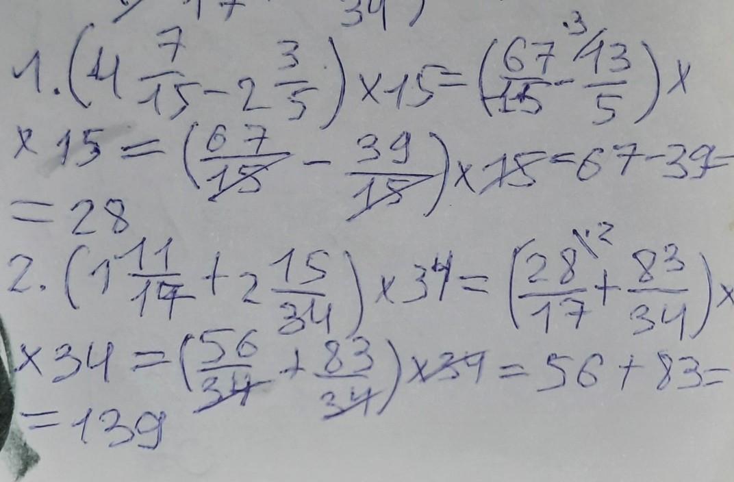
1) (4 7/15 - 2 3/5)х15
2) (1 11/17+2 15/34)×34
Ответы
Ответ дал:
2
Ответ:
надеюсь всё понятно)))
ьатвлыдщыжф
Приложения:

Ответ дал:
1
Ответ:
в74че78чншнчн7с8ннч8нсг9
Приложения:

Вас заинтересует
2 года назад
2 года назад
2 года назад
2 года назад
7 лет назад
9 лет назад