• Предмет: Математика
  • Автор: ilonanazaryk0
  • Вопрос задан 3 года назад

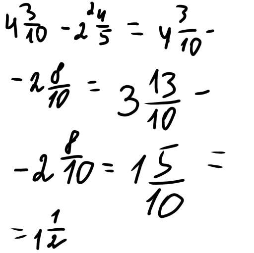
виконай віднімання 4 3/10 - 2 4/5

Ответы

Ответ дал: Margarita57812
4

Ответ: 1 1/2

Пошаговое объяснение:

4 3/10 - 2 4/5 = 4 3/10 - 2 8/10 = 3 13/10 - 2 8/10 = 1 5/10 = 1 1/2

Ответ дал: valentya
1
буде 1 ціла 1/2
вибач якщо не правильно
Приложения:
Вас заинтересует