40 БАЛОВ!!
Только полностью расписать.
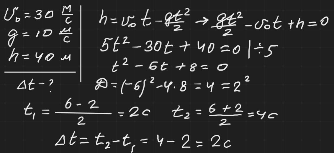
Тіло, кинуте з поверхні Землі вертикально вгору зі швидкістю 30 м/с, двічі побувало на висоті 40 м. Який проміжок часу розділяє ці дві події?
Ответы
Ответ дал:
2
Відповідь: 2 с
Пояснення:
Приложения:

onewaay0:
я тебя люблю
Вас заинтересует
2 года назад
2 года назад
2 года назад
7 лет назад
7 лет назад
9 лет назад
9 лет назад