Ответы
Ответ дал:
1
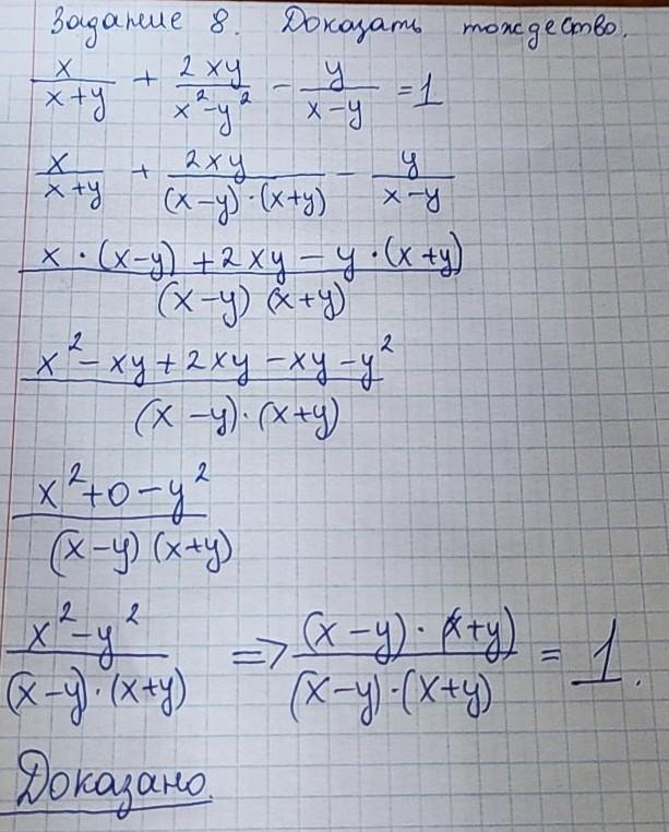
Ответ дан на Задание 8.
.........................................
Приложения:

MrProfessor:
можете пожалуста ответ сделать лучшим.
Вас заинтересует
2 года назад
2 года назад
7 лет назад
9 лет назад