• Предмет: Алгебра
  • Автор: bozhakanovd
  • Вопрос задан 2 года назад

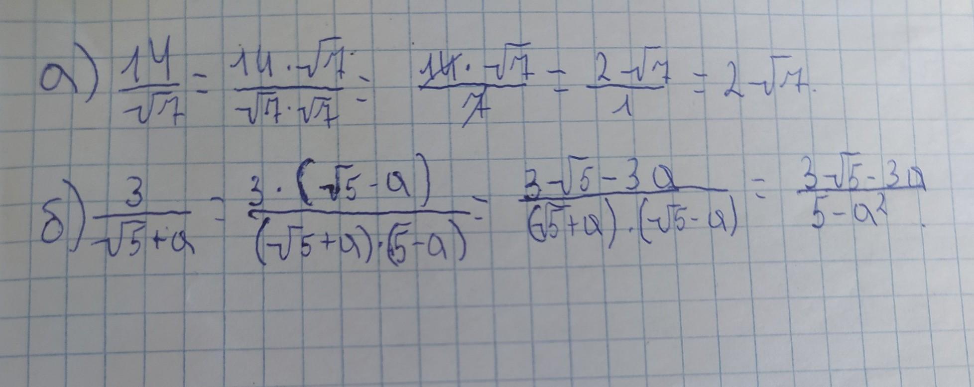
5. Освободитесь от иррациональности в знаменателе дроби​

Приложения:

Ответы

Ответ дал: belovr076
1

это правильно я сам решал

Приложения:

bozhakanovd: спасибо но уже 3(
Вас заинтересует