• Предмет: Алгебра
  • Автор: Мозгокошка
  • Вопрос задан 2 года назад

Алгебра даю 100 баллов за лучший ответ!Всего 2 задания​

Приложения:

IUV: не понимаю условие 2 (обозначение ir ???)
Мозгокошка: Известно,что 12^х=3.Найти 12^(2х-1).Не понимаю где обозначение ir.Не вижу
IUV: ага, это 12 а не ir !!!

Ответы

Ответ дал: IUV
1

Ответ:

у додатку

Объяснение:

Приложения:

Мозгокошка: спасибо огромное
linoka2008: здравствуйте можете мне пожалуйста помочь с алгеброй мне очень нужно пожалуйста
IUV: Данный пользователь пока не ответил ни на один вопрос
Ответ дал: NNNLLL54
1

Ответ:

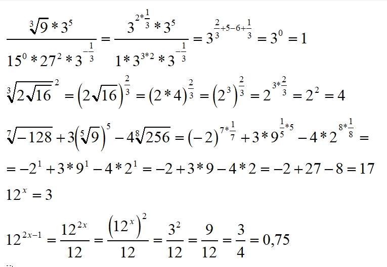
1)  Вычислить. Применяем свойства степеней и корней .

\displaystyle a)\ \ \frac{\sqrt[3]{9}\cdot 3^5}{15^0\cdot 27^2\cdot 3^{-\frac{1}{3}}}=\frac{(3^2)^{\frac{1}{3}}\cdot 3^5}{1\cdot (3^3)^2\cdot 3^{-\frac{1}{3}}}=\frac{3^{\frac{2}{3}}\cdot 3^5}{3^6\cdot 3^{-\frac{1}{3}}}=\frac{3^{\frac{17}{3}}}{3^{\frac{17}{3}}}=1\\\\\\b)\ \ \Big(\sqrt[3]{2\sqrt{16}}\Big)^2=\Big(\sqrt[3]{2\cdot 4}\Big)^2=\Big(\sqrt[3]{2^3}\Big)^2=2^2=4\\\\\\c)\ \ \sqrt[7]{-128}+3(\sqrt[5]{9})^5-4\sqrt[8]{256}=\sqrt[7]{(-2)^7}+3\cdot 9-4\sqrt[8]{2^8}=-2+27-4\cdot 2=\\\\=25-8=17

2)  Известно, что  12^{x}=3  , найти  12^{2x-1}  .

  12^{2x-1}=12^{2x}\cdot 12^{-1}=(12^{x})^2\cdot \dfrac{1}{12}=\dfrac{3^2}{12}=\dfrac{3\cdot 3}{3\cdot 4}=\dfrac{3}{4}=0,75  

Вас заинтересует