• Предмет: Алгебра
  • Автор: Anastasi9719
  • Вопрос задан 2 года назад

Одне завдання
Додам балів подякою та відміткою найкраща відповідь

Приложения:

Ответы

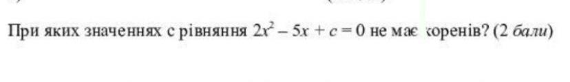
Ответ дал: romanihorovuch
1
2х^2-5х+с=0
D=25-8с
D<0
25-8c<0
8c>25
c>3 1/8
C є(3 1/8; +нескінченність)
Вас заинтересует