• Предмет: Алгебра
  • Автор: Аноним
  • Вопрос задан 2 года назад

помогите пожалуйста!!!!! даю 100 баллов​

Приложения:

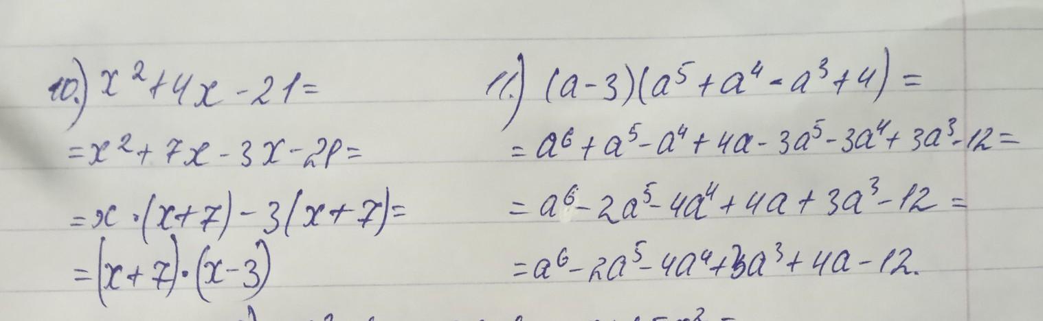
ТатМих: 10) (х+7)(х-3)
ТатМих: 11) (a-3)(a^5+a^4-a^3+3) = a^6+a^5-3a^5-3a^4-a^4+3a^3+3a-9=a^6-2a^5-4a^4+3a^3+3a-9

Ответы

Ответ дал: varvarinecangelina60
0

Ответ:

Фото прикріплено

Объяснение:

Докладно розписала

Приложения:

Аноним: дякую!
Вас заинтересует