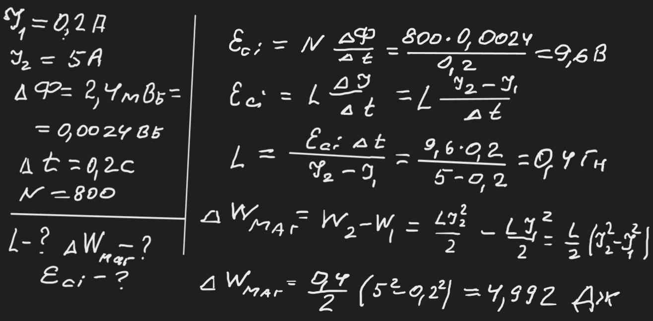
При зміні сили струму від 0,2 до 5А у котушці, що має 800 витків, магнітний
потік збільшується на 2,4 мВб. Визначити індуктивність котушки, зміну
енергії магнітного поля котушки та середнє значення ЕРС самоіндукції в
котушці, якщо зміна струму в котушці відбувалася протягом 0,2 с.
Ответы
Ответ дал:
1
Відповідь: Див. додаток
Пояснення:
Приложения:

Вас заинтересует
1 год назад
1 год назад
1 год назад
1 год назад
3 года назад
3 года назад
8 лет назад