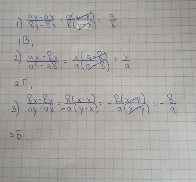
установить відповідніть між Дробовими виразами (1-3) та тотожно рiвними їм нескоротними дробами (А-Д)
Приложения:

Ответы
Ответ дал:
1
Ответ:
Ось,сподіваюся,що допомогла)
Приложения:

Вас заинтересует
1 год назад
1 год назад
1 год назад
1 год назад
3 года назад
3 года назад
8 лет назад
8 лет назад