• Предмет: Физика
  • Автор: onisenkoivan302
  • Вопрос задан 2 года назад

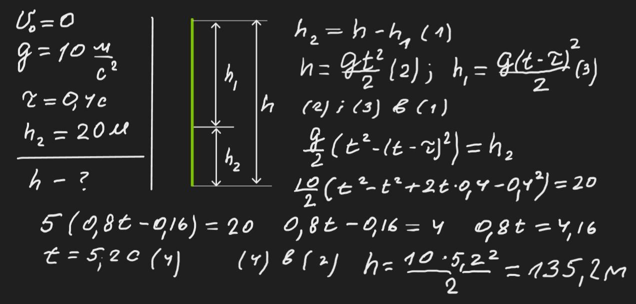
Вільно падаюче тіло пройшло останні 20 м за час 0,4 с. Знайдіть висоту ,з якої падало тіло?

Ответы

Ответ дал: zybkov1950
2

Відповідь: 135,2 м

Пояснення:

Приложения:

onisenkoivan302: спасибо большое!!!!!
Вас заинтересует